Магнитные свойства археологических объектов
В.П.Дудкин, И.Н.Кошелев
1. Объекты исследований
В последние десятилетия магнитометрические исследования прочно вошли в арсенал средств и методов поисков и разведки археологических памятников различных эпох. В связи с этим резко возрос интерес к магнитным характеристикам археологических объектов. Эти данные крайне необходимы как на стадии проектирования работ при оценке ожидаемых эффектов, создаваемых намагниченными археологическими объектами, так и при археологическом истолковании результатов магнитометрических съемок для качественной и количественной интерпретации магнитометрических данных, решения задач моделирования и прогноза археологических объектов.
Исследования магнитных свойств проводились на образцах, отобранных из следующих объектов:
– трипольские площадки, представленные слоями сильно обожженной глины;
– гончарные и производственные печи для обжига посуды, черепицы, отжига извести;
– бытовые печи для отопления жилищ и приготовления пищи;
– культурный слой – почва и подстилающие породы, преобразованные деятельностью человека;
– заполнение древних жилищ, ям и рвов;
– вмещающие породы без заметных следов деятельности человека.
На объектах первых трех типов отбирались образцы обожженных глин, на остальных – рыхлый материал, характерный для данного типа объектов.
Образцы из всех указанных объектов были отобраны и измерены в прошлые годы. В настоящей работе приводятся результаты повторного, более углубленного статистического анализа собранных данных.
Анализ проведен на образцах, отобранных на таких известных поселениях как Майданецкое, Николаевка (Черкасской обл.), Монастырек, Ходосовка, Шкаровка, Жуковцы, Черняхов, Триполье, Сахновка (Киевской обл.), Рашков (Черновицкой обл.), Каветчина (Хмельницкой обл.), Ольвия, Большая Черноморка, Скелька, Лупарево, Куцуруб, Закисова Балка, Дмитровка (Николаевской обл.), Мыс Станислав (Херсонской обл.), Черноморское, Межводное, Николаевка, Любимовка, Херсонес (Крым), Брынзены, Варваровка, Требужены, София, Главан, Дьяково Урочище, Сороки, (Молдова) и многих других. Всего проанализировано более 800 образцов, отобранных более чем из 50 памятников, расположенных на территории Среднего Поднепровья, Украинского Полесья, Северного Причерноморья, Крыма, юго-запада Украины и Молдовы.
Объединение результатов измерений магнитных свойств образцов из археологических объектов, столь широко разбросанных географически, представляется на данном этапе исследований вполне оправданным. Так, по данным выполненного в прошлые годы качественного анализа информации магнитной восприимчивости и намагничения обожженных глин, в частности в работе Г.Ф.Загния [Загний Г.Ф., 1979], установлено, что их магнитные свойства для региона Украины и Молдовы зависят главным образом от степени обжига, а не от местоположения или принадлежности к определенной эпохе (культуре). По тем же данным установлено также, что магнитные свойства культурного слоя и заполнения археологических памятников в малой степени зависят от времени их образования и принадлежности памятника к той или иной археологической культуре.
Что касается вмещающих пород, то они повсеместно представлены в различной комбинации почвами, суглинками, лессовидными суглинками, гумусированными глинами и т.п. Их магнитные свойства слабо дифференцированы и различие можно было бы установить лишь при массовом отборе образцов каждой разновидности. Из множества литературных источников по этому вопросу следует отметить работу А.Н.Третяка и З.Е.Волок [Третяк А.Н., Волок З.Е., 1976], где непосредственно по рассматриваемому региону отмечается закономерное убывание величин намагничения и магнитной восприимчивости от глинистых красноцветных разновидностей до зеленых и серых глин и песков. Однако, по тем же данным, средние значения, например, магнитной восприимчивости этих разновидностей пород убывают, соответственно, от 25·10-6 до 17·10-6 ед.СГС. Таким образом, хотя дифференциация магнитных свойств вмещающих пород и имеет место, но различия их магнитных характеристик, как и следовало ожидать, ничтожно малы, особенно по сравнению с характеристиками искомых археологических объектов. Кроме того следует принять во внимание, что перед магнитометрическими исследованиями археологических объектов задача разделения вмещающих пород на отдельные петрографические разности не ставится. Учитывая все это, без ущерба для последующих выводов можно рассматривать имеющиеся данные о магнитных свойствах вмещающих пород, как одну общую статистическую совокупность, в которой наиболее магнитные разности найдут отражение в одной крайней области распределения их магнитных характеристик, слабо магнитные – в другой. Если при этом распределение сохранится близким к нормальному, достоверность выводов на данном этапе исследований не пострадает. Результаты дальнейшей статистической обработки (см. разд. 3) полностью подтверждают правомерность включения данных по всем разностям вмещающих пород в одну выборку. При этом вариационная кривая (см. рис. 2, 4) имеет одну вершину (т.е. выборка однородна) и сохраняется симметричной, что говорит о соответствии распределения нормальному закону.
2. Методы анализа
Необходимость повторного, более углубленного анализа результатов измерений магнитных свойств археологических объектов вызвана прежде всего тем, что в работах на эту тему приводятся главным образом качественные результаты, использование которых в практике количественной интерпретации магнитометрических данных не представляеся возможным. Так, например, в работе [Загний Г.Ф., 1979] автор использовал измерения магнитных свойств более 4000 образцов. Однако результат представлен только в виде пределов изменения намагничения и магнитной восприимчивости. Гистограммы распределений исследуемых величин не соответствуют ни нормальному ни логнормальному законам и имеют сугубо иллюстративный характер. Приведенные там же пределы наиболее вероятных значений магнитных характеристик настолько широки (например, от 1000 до 5000 микроединиц СГС), что их использование на практике фактически невозможно. То же можно сказать и об упомянутой выше работе [Третяк А.Н., Волок З.Е., 1976], где без необходимой статистической обработки приводятся только иллюстрации и пределы изменения магнитных свойств образцов вмещающих пород различных наименований, без расчета их основных статистических характеристик.
В результате обработки имеющихся данных установлено, что для всех без исключения археологических объектов распределение как намагничения, так и магнитной восприимчивости соответствует не нормальному, а логнормальному закону (нормальному закону распределения логарифмов исследуемых параметров). По нашим данным все анализируемые выборочные совокупности соответствуют (по критерию ξ2) нормальному распределению при уровне значимости 0.95, за исключением малочисленных выборок по гончарным печам, для которых уровень значимости падает до 0.90.
|
|
|
| Рис 1a. Нормальное распределение намагничения образцов из трипольских площадок | Рис 1b. Логнормальное распределение намагничения образцов из трипольских площадок |
В качестве примера на рис. 1 приведены гистограммы намагничения трипольских площадок для нормального и логнормального распределений.
Такие же сравнения проведены по остальным объектам. Гистограммы логнормального распределения исследуемых параметров приведены на рис. 2 (для сокращения иллюстративного материала гистограммы нормального распределения не приводятся).
Логнормальное распределение легко отличается от нормального по резкой положительной (со смещением максимума влево) асимметрии вариационной кривой (или гистограммы), построенной в арифметическом масштабе, и “нормальному”, симметричному виду кривой при логарифмическом масштабе по оси x графика. Соответствие логнормальному закону распределений магнитных свойств горных пород и руд в геологии давно известно и широко используется при обработке экспериментальных данных. Наша задача состояла в том, чтобы подтвердить аналогичный характер распределения намагничения и магнитной восприимчивости археологических объектов.
Нормальное распределение логарифмов магнитных характеристик археологических объектов представляется вполне закономерным. Логнормальный закон распределения, наряду с нормальным, является одним из наиболее распространенных в природе. Логнормальное распределение имеет место обычно в тех случаях, когда какой-либо из факторов, существенно влияющих на значение исследуемого параметра, систематически проявляется в большей степени, чем остальные. В частности, анализируя распределение содержаний в породе того или иного химического элемента, Д.А.Родионов [Родионов Д.А., 1964] пришел к выводу, что такое распределение будет нормальным, если элемент в равных долях содержится в нескольких минералах породы, или близким к логнормальному, когда элемент содержится в одном минерале породы. Вывод, полученный для параметра “концентрация химического элемента”, справедлив и для таких параметров, как намагничение и магнитная восприимчивость. Определяющим их величину химическим элементом является железо, и в исследуемых образцах оно концентрируется только в магнитоактивных минералах. Это главным образом окислы и гидроокислы железа и прежде всего – магнетит.
Применение метода анализа исходя из логнормального закона расределения позволяет получить существенно иные значения статистических характеристик исследуемых выборочных совокупностей по сравнению с данными их обработки в предположении нормального распределения.
Так, для рассмотренного выше примера намагничения образцов из трипольских площадок (рис. 1) обработка данных, исходя из нормального закона распределения, дает следующие результаты:
где Jср – среднее арифметическое значение намагничения, s – стандартное среднеквадратическое отклонение (стандарт), ε – среднеквадратическая погрешность арифметической середины.
По тем же данным обработка в соответствии с логнормальным законом распределения приводит к результату :
где lg Jср – среднее значение логарифма намагничения.
После антилогарифмирования получим значение
которое обычно принимают в качестве среднего.
В действительности величина
, т.е. соответствует медиане, которая делит совокупность значений исследуемого параметра на две равные части. Более надежными и привычными являются оценки среднего арифметического и стандарта. Для данного случая получим:
При логнормальном распределении среднее арифметическое, стандарт и другие характеристики рассчитываются по формулам (4, 5) :
![]() |
(1) |
где N – число элементов выборки. При этом
. В случае, когда при обработке данных используются значения натуральных логарифмов, расчетные формулы для вычисления значений xср и s2 принимают вид:
![]() |
(2) |
Обработка результатов измерения магнитных свойств археологических объектов выполнена на компьютере с использованием программного средства MicroCal Origin для обработки данных и построения гистограмм и других графических приложений, программы аппроксимации экспериментальных данных APPROX, а также дополнительной программы для проведения аналитических расчетов.
3. Результаты исследований
Основные статистические характеристики по всем исследуемым археологическим объектам приведены в таблице 1.
Таблица 1. Статистические характеристики магнитных свойств археологических объектов
| № пор | Наименование объектов | Количество образцов | Пределы изменения : J·10-3 СИ, κ·4π10-6 СИ | Среднее : J·10-3 СИ, κ·4π10-6 СИ | Стандарт |
| 1. Намагничение | |||||
| 1 | Трипольские площадки | 47 | 104 – 17956 | 2323 ± 318 | 2179 |
| 2 | Гончарные печи | 31 | 84 – 24458 | 3093 ± 751 | 4183 |
| 3 | Бытовые печи | 49 | 40 – 1859 | 601 ± 104 | 364 |
| 2. Магнитная восприимчивость | |||||
| 4 | Трипольские площадки | 47 | 43 – 2248 | 530 ± 50 | 340 |
| 5 | Гончарные печи | 31 | 54 – 1445 | 399 ± 53 | 298 |
| 6 | Бытовые печи | 49 | 86 – 818 | 278 ± 36 | 128 |
| 7 | Культурный слой | 117 | 24 – 384 | 66 ± 6 | 27 |
| 8 | Заполнение жилищ | 132 | 10 – 340 | 74 ± 6 | 34 |
| 9 | Заполнение ям | 43 | 20 – 141 | 51 ± 6 | 17 |
| 10 | Вмещающие породы | 180 | 7 – 209 | 25 ± 2 | 12 |
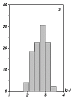
Гистограммы намагничения (J) и магнитной восприимчивости (κ) археологических объектов.
Как видно из таблицы, анализируемые выборки имеют объем от 31 до 180 элементов и, в основном, являются представительными. Судя по гистограммам исследуемых параметров (рис. 2), распределение магнитных характеристик имеет одну вершину, что свидетельствует об их однородности. Заметные в ряде случаев асимметрия и эксцесс объясняются, по-видимому, недостаточным числом элементов выборки, что говорит о необходимости дальнейшего наращивания отбора и измерения образцов в процессе последующих магнитометрических исследований.
Значения стандарта s количественно характеризуют степень дисперсии (рассеяния) исследуемых параметров, которая по ряду объектов оказалась довольно высокой, что заметно и по ширине пределов изменения. Вследствие этого высокой получилась и оценка среднеквадратической погрешности арифметической середины ε , особенно для намагничения и магнитной восприимчивости трипольских площадок и гончарных печей. Она может быть уменьшена при увеличении численности выборки, что еще раз говорит о необходимости вовлечения в обработку большего числа измерений, в частности, по указанным выше археологическим объектам. При даннной численности обрабатываемых выборочных совокупностей доверительный интервал оценки среднего арифметического для трипольских площадок и гончарных печей принят равным ±ε, что соответствует надежности 68%, и ±2ε для остальных объектов при надежности оценки 95%.
4. Зависимость между магнитной восприимчивостью и намагничением
При расчетах ожидаемых эффектов от намагниченных археологических объектов на стадии проектирования исследований, а также при проведении качественной и количественной интерпретации магнитометрических данных значительный интерес представляет зависимость магнитной восприимчивости исследуемых объектов от их намагничения. В практике геофизических работ часто используют оценку магнитной восприимчивости по величине намагничения пород, исходя из простого соотношения
| J = κ T | (3) |
где J – намагничение, κ – магнитная восприимчивость, T – напряженность магнитного поля Земли (магнитная индукция).
Так как в средних широтах можно принять величину T ≈ 0.5 Э (т.е. 0.5 ед.СГС), получим соотношение : κСГС = 2JСГС или, в системе СИ, κСИ = 2·103/4πJСИ.
Простое сравнение подобной оценки с данными таблицы 1 по объектам, на которых по одним и тем же образцам определялись намагничение и магнитная восприимчивость (трипольские площадки, печи), говорит о ее полной несостоятельности. Это легко объясняется высокой термоостаточной намагниченностью обожженных глин, в то время как в формуле (3) фигурирует естественная индуктивная намагниченность современным магнитным полем.
С целью установления зависимости между κ и J для обожженных глин были совместно проанализированы данные по намагничению и магнитной восприимчивости для трипольских площадок, гончарных и бытовых печей. В результате установлены корреляционные зависимости κ от J, которые на примере трипольских площадок иллюстрируются рис. 3.
Ограничиваясь случаем линейной корреляции данных, получим следующие соотношнения :
для трипольских площадок : lg κ = 0.90 + 0.54 lg J, r = 0.73;
для гончарных печей : lg κ = 0.84 + 0.54 lg J, r = 0.76;
для бытовых печей : lg κ = 0.80 + 0.59 lg J, r = 0.75.
Судя по величине коэффициента корреляции r, во всех случаях связь между параметрами устанавливается достаточно надежно. Как видно из приведенных формул, корреляционные зависимости для разных объектов весьма сходно, что естественно, так как независимо от названия объекта предметом исследований оставались обожженные глины. Некоторый разброс значений кэффициентов можно объяснить недостаточным количеством образцов по каждому типу объектов. Учитывая, что разброс значений коэффициентов не превышает ±5%, можно с достаточной степенью точности заменить приведенные три формулы одной :
![]() |
(4) |
Так как логарифмами значений на практике пользоваться неудобно, перейдем к натуральным значениям параметров. После антилогарифмирования выражения (4) и анализа полученых данных на компьютере с помощью программы аппроксимации экспериментальных данных APPROX в качестве лучшей аппроксимационной формулы получено следующее выражение :
![]() |
(5) |
Окончательно, для простоты расчетов можно принять:
![]() |
(6) |
В данной формуле κ и J выражены в микроединицах СГС (1 м.е.СГС=10-6 СГС). Если для расчетов значения J подставляются в виде n ·10-6, то значения κ, выраженные в виде n ·10-6, должны вычисляться по формуле :
![]() |
(7) |
Если, например, J = 2500·10-6 СГС, то по формуле (7) получим κ =500·10-6 СГС.
Для проведения расчетов в системе СИ следует воспользоваться следующей формулой:
![]() |
(8) |
Если в формуле (8) подставлять значения J в виде n ·10-3 A/м, получим значения κ в единицах 1/4π·10-6 СИ.
5. Определение вероятности разделения археологических объектов по магнитометрическим данным
Применение любого геофизического метода поисков и разведки основано на дифференциации горных пород по их физическим свойствам – плотности, электрической проводимости и т.п. Физической основой магниторазведки является различие искомых объектов и вмещающей среды по магнитным свойствам.
Оценка возможности выделения тех или иных объектов по магнитометрическим данным производится обычно сравнением средних значений магнитной восприимчивости или намагничения. Такая оценка субъективна и весьма недостоверна, так как реальное распределение параметра характеризуется не только средним значением, но еще и дисперсией, т.е. степенью рассеяния, которая тем больше, чем шире вариационная кривая (пределы изменения случайной величины).
Такие особенности распределения, например, магнитной восприимчивости присущи как исследуемому объекту, так и вмещающей его среде. В том и другом случае распределение магнитной восприимчивости описывается вариационной кривой. В зависимости от степени различия средних значений и дисперсии вариационные кривые могут частично перекрываться, образуя область возможной встречи величин случайного параметра, присущих в равной мере как исследуемому объекту, так и вмещающим породам. В связи с этим вероятность выделения объекта в той или иной среде должна рассчитываться путем совместного анализа соответствующих распределений, т.е. на основе сравнения их вариационных кривых.
Простой способ такого анализа предложен О.А.Квачевским [Квачевский О.А., 1968]. Сущность метода состоит в следующем. Если вариационные кривые сравниваемых распределений получены при одинаковых интервалах группирования и построены в одном координатном поле, то площади, ограниченные кривыми и осью абсцисс, будут одинаковы : S1=S2=100% × Δκ, где Δκ – ширина интервала группирования данных, которую можно условно принять за 1.
Рассмотрим три возможных случая.
1) Кривые полностью изолированы, не пересекаются, область равнозначных величин исследуемого параметра отсутствует. Площадь, общая для двух распределений, S=0, вероятность равнозначных величин параметра P`=0 и вероятность разделения объектов P=1-P`=1 или 100%.
2) Если вариационные кривые полностью перекрываются, площадь, общая для обеих кривых S=S1, вероятность равнозначных величин параметра P`=S/S1=1 и вероятность разделения объектов P=1-P`=0. Это означает, что разделение объектов по данным геофизического метода, основанного на использовании данного физического параметра, невозможно.
3) В более общем случае вариационные кривые перекрываются частично, образуя область равнозначных значений параметра S < S1. Вероятность равнозначных величин исследуемого параметра P`=S/S1 лежит в пределах 0 < P` < 100%, вероятность разделения объектов P=100%-P`. При этом из опыта работ установлены следующие критерии :
– при P < 68% выделение объекта возможно с достаточно большой степенью надежности;
– при 68% > P < 50% разделение объектов возможно лишь при благоприятных условиях (при значительном различии особенностей магнитных аномалий по форме, амплитуде, размерам и т.п.);
– при P < 50% выделение объекта геофизическим методом, основанным на данном физическом свойстве практически невозможно.
Площадь S, общая для двух исследуемых распределений, может быть вычислена как сумма значений частот в каждом из интервалов этих распределений в области их перекрытия.
Рассмотрим далее пример подобного анализа на конкретных примерах. Из сопоставления вариационных кривых трипольских площадок и вмещающих пород (рис. 4 а) вероятность выделения трипольских площадок оценивается величиной 90%, т.е. задача их выделения по магнитометрическим данным решается вполне уверенно.
Рис. 4. Определение вероятности разделения археологических объектов по магнитометрическим данным. Вариационные кривые магнитной восприимчивости κ
Сравнивая распределения магнитной восприимчивости вмещающих пород и заполнения древних жилищ (рис. 4 b), получим вероятность разделения объектов P=61%. Это означает, что выделение объектов, соответствующих понятию “заполнение жилищ”, возможно лишь при благоприятных условиях (например, при контрастном контакте и сравнительно больших размерах объекта).
Совместный анализ распределений магнитной восприимчивости трипольских площадок и бытовых печей (рис. 4 c) показывает, что вероятность их разделения всего 39%. Следовательно, выделение бытовой печи на фоне трипольской площадки практически невозможно.
Подобным образом проанализированы все имеющиеся распределения магнитной восприимчивости. Результаты анализа представлены в таблице 2. Знаком “*” отмечены случаи, когда разделение объектов по магнитометрическим данным невозможно.
Как видно из таблицы, задачи выделения археологических объектов по магнитметрическим данным в большинстве случаев решаются вполне успешно. Исключение составляют случаи разделения эффектов, создаваемых заполнением жилищ, ям и культурным слоем, а также выделения бытовых печей на фоне трипольских площадок. Из таблицы также видно, что практически не различаются распределения магнитной восприимчивости трипольских площадок и гончарных печей. Это означает, что невозможно выделить гончарную печь на фоне трипольской площадки. Но никто такую задачу и не ставит. Как правило, гончарная печь – это совершенно обособленный от площадки объект, имеющий обычно меньшие размеры, и он успешно картируется по магнитометрическим данным на фоне вмещающих пород, культурного слоя или заполнения жилищ и ям.
Приведенные выводы получены на основе совместного анализа распределений магнитной восприимчивости археологических объектов. Однако подобные результаты могут быть получены и из анализа распределений намагничения объектов. По имеющимся данным это можно проверить только для объектов, где проводился отбор образцов обожженных глин. Так, по результатам анализа распределений намагничения, вероятность разделения трипольских площадок и гончарных печей составляет всего 18%, трипольских площадок и бытовых печей – 41%, что хорошо согласуется с данными таблицы 2, полученными из сравнения распределений магнитной восприимчивости.
Таблица 2. Вероятность разделения археологических объектов по магнитометрическим данным
| Наименование объектов | Трипольские площадки | Гон-чарные печи | Быто-вые печи | Вмеща-ющие породы | Куль-турный слой | Запол-нение жилищ | Запол-нение ям |
| Трипольские площадки | - | 16* | 39* | 90 | 78 | 74 | 86 |
| Гончарные печи | 16* | - | 35* | 85 | 70 | 68 | 79 |
| Бытовые печи | 39* | 35* | - | 92 | 68 | 64 | 79 |
| Вмещающие породы | 90 | 85 | 92 | - | 56 | 61 | 54 |
| Культурный слой | 78 | 70 | 68 | 56 | - | 10* | 28* |
| Заполнение жилищ | 74 | 68 | 64 | 61 | 10* | - | 42* |
| Заполнение ям | 86 | 79 | 79 | 54 | 28* | 42* | - |
Литература
Загний Г.Ф. Структура археовековых вариаций геомагнитного поля на Украине и в Молдавии за последние 5500 лет. – Дисс. к. ф.-м. н. Институт геофизики АН УССР. – К., 1979.
Третяк А.Н., Волок З.Е. Палеомагнитная стратиграфия плиоцен-четвертичных осадочных толщ Украины. – К. : Наукова думка, 1976. – 88 с.
Родионов Д.А. Функции распределения содержаний элементов и минералов в изверженных горных породах. – М. : Наука, 1964. – 102 с.
Справочник по математическим методам в геологии / Д.А.Родионов, Р.И.Коган, В.А.Голубева и др. – М. : Недра, 1987. – 335 с.
Арабаджи М.С., Бакиров Э.А. и др. Математические методы и ЭВМ в поисково-разведочных работах. – М. : Недра, 1984. – 264 с.
Квачевский О.А. Об использовании данных статистического анализа физических свойств пород и руд для оценки возможностей применения геофизических методов. – Сб. Вопросы развития геофизики. – Вып. 7, ВИРГ. – Л., 1968.
Джерело : Археометрія та охорона історико-культурної спадщини, 1997 р., вип. 1, с. 19 – 27.







